Thursday, October 11, 2012

Calculator Tricks - Part 5

Welcome to Part 5 of Calculator Tricks

Part 5 will cover:
* Solving 2 by 2 equations
* Finding roots of the quadratic equations

The above tasks will be accomplished by using a simple calculator. That means we have only the arithmetic functions, square roots, percents, and memory to work with.


Solving 2 by 2 Equations

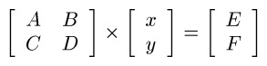
Suppose we are assigned the task solving for x and y:

Ax + By = E
Cx + Dy = F

This is a system of two simultaneous equations with two unknowns, x and y. We can use matrices to visualize this problem:


Take the inverse of the coefficient matrix and left multiply both sides to get:

We can find the inverse of the coefficient matrix by:

The product A × D - B × C is called the determinant. Finally, we solve for x and y:

Now that we have our general solutions, how do we tackle this on a simple calculator?

2 × 2 System of Equations

We only have one memory in the register to work with. Here is a strategy:

1. Calculate the determinant. Keystrokes: A × D - B × C =. Note this number down on paper. The calculator's memory will be required to find x and y.

2. Solve for x. Use the sequence:
MC
D × E = M+
B × F = M-
MR ÷ determinant =


3. Solve for y. Use the sequence:
MC
A × F = M+
C × E = M-
MR ÷ determinant =


---------------
Example: Solve the System

2x + 3y = -1
x - 3y = 2

We have A = 2, B = 3, C = 1, D = -3, E = -1, F = 2

Step 1:
Keystrokes:
MC
2 × 3 +/- = M+
3 × 1 = M-
MR


The determinant is -9. Write this result down.

Step 2:
Keystrokes:
MC
3 +/- × 1 +/- = M+
3 × 2 = M-
MR ÷ 9 +/- =


x ≈ 0.3333333

Step 3:
Keystrokes:
MC
2 × 2 = M+
1 × 1 +/- = M-
MR ÷ 9 +/- =


y ≈ -0.5555555

----------------

Solving Quadratic Equations

Let's tackle on how we find the roots of the equation:

Ax^2 + Bx + C = 0

Our focus for this blog entry will be finding real roots.

Referring to the quadratic formula:

We can derive our algorithm for finding both roots:

1. Calculate the discriminant. Store this result in the calculator's memory.

Keystrokes:
MC
B × = M+
4 × A × C = M-


2. Find the first root:

Keystrokes:
MR √ - B ÷ 2 ÷ A =

3. Find the second root:

Keystrokes:
MR √ +/- - B ÷ 2 ÷ A =
---------------
Example: Find the roots of

x^2 + 5x - 6 = 0

Let A = 1, B = 5, and C = -6

Step 1: Discriminant
MC
5 × = M+
4 × 1 × 6 +/- = M-


Discriminant = 49

Step 2: First Root
MR √ - 5 ÷ 2 ÷ 1 =

One of the roots is x = 1.

Step 3: Second Root
MR √ +/- - 5 ÷ 2 ÷ 1 =

The other root is x = -6


I hope this series is helpful. This series has showed how to make various calculations with a simple calculator: arithmetic procedures including fractions, area of a circle, distance between two points, calculating the total shopping bill, solving 2 x 2 simultaneous equations, and solving quadratic equations.

Until next time,

Eddie


This blog is property of Edward Shore, 2012.

HP 15C: Distance and Slope Between Two Points Using Polar Conversion and the Stack

HP 15C: Distance and Slope Between Two Points Using Polar Conversion and the Stack HP 15C Program: Distance and Slope This short...